1.Pendahuluan [kembali]
LPF -40db/dec adalah singkatan dari Low-Pass Filter (LPF) dengan atenuasi -40 desibel per dekade. LPF Ini adalah jenis filter elektronik yang melewatkan sinyal frekuensi rendah dan melemahkan sinyal frekuensi tinggi. Sinyal yang lewat akan mengalami sedikit perubahan atau tanpa perubahan sedangkan sinyal yang diredam akan berkurang kekuatannya.Nilai -40 dB/dekade berarti untuk setiap dekade peningkatan frekuensi, daya sinyal akan berkurang sebesar 40 dB. Semakin besar nilai negatif dB/dekade, semakin cepat filter meredam sinyal frekuensi tinggi.Ini menunjukkan seberapa cepat sinyal frekuensi tinggi diredam oleh filter. Desibel (dB) adalah satuan yang digunakan untuk mengukur perbandingan daya, sedangkan dekade menunjukkan perubahan frekuensi sepuluh kali lipat.
2.Tujuan [kembali]
- Mengetahui pengertian, prinsip kerja, dan karakteristik Low Pass Filter (LPF)
- Merangkai dan menganalisa rangkaian LPF
- Membuat kesimpulan hasil praktikum dan menganalisa LPF
1.Osiloskop
Osiloskop adalah komponen elektronika yang mempunyai kemampuan menyimpan electron-elektron selama waktu yang tidak tertentu. Osiloskop dilengkapi dengan tabung sinar katode. Peranti pemancar elektron memproyeksikan sorotan elektron ke layar tabung sinar katode.
Keterangan
2.Power Supply
Berfungsi sebagai sumber daya bagi sensor ataupun rangkaian.
Spesifikasi:
Input voltage: 5V-12V
Output voltage: 5V
Output Current: MAX 3A
Output power:15W
conversion efficiency: 96%
b. Bahan
3.Resistor
Resistor merupakan komponen elektronik yang memiliki dua pin dan didesain untuk mengatur tegangan listrik dan arus listrik. Resistor mempunyai nilai resistansi (tahanan) tertentu yang dapat memproduksi tegangan listrik di antara kedua pin dimana nilai tegangan terhadap resistansi tersebut berbanding lurus dengan arus yang mengalir.
Resistor adalah komponen Elektronika Pasif yang memiliki nilai resistansi atau hambatan tertentu yang berfungsi untuk membatasi dan mengatur arus listrik dalam suatu rangkaian Elektronika (V=I R). Jenis Resistor yang digunakan disini adalah Fixed Resistor, dimana merupakan resistor dengan nilai tetap terdiri dari film tipis karbon yang diendapkan subtrat isolator kemudian dipotong berbentuk spiral. Keuntungan jenis fixed resistor ini dapat menghasilkan resistor dengan toleransi yang lebih rendah.
- Gelang ke 1 : Coklat = 1
- Gelang ke 2 : Hitam = 0
- Gelang ke 3 : Hijau = 5 nol dibelakang angka gelang ke-2; atau kalikan 105
- Gelang ke 4 : Perak = Toleransi 10%
- Maka nilai resistor tersebut adalah 10 * 105 = 1.000.000 Ohm atau 1 MOhm dengan toleransi 10%.
4.Kapasitor
Nilai kapasitor (104J) : 10 * 10^4 pF = 10^5 pF = 100nF; toleransi 5% = ± 95nF sampai 105nF .Kapasitor adalah komponen elektronika pasif yang dapat menyimpan muatan listrik dalam waktu sementara.
Cara menghitung nilai kapasitor :
- Masukan 2 angka pertama langsung untuk nilai kapasitor
- Angka ke-3 berfungsi sebagai perpangkatan (10^n) nilai kapasitor.
- Satuan kapasitor dalam piko farad.
- Huruf terakhir menyatakan nilai toleransi dari kapasitor.
Daftar nilai toleransi kapasitor :
- B = 0.10pF
- C = 0.25pF
- D = 0.5pF
- E = 0.5%
- F = 1%
- G = 2%
- H = 3%
- J = 5%
- K = 10%
- M = 20%
- Z = + 80% dan -20%
5.OP-Amp
Op-Amp adalah salah satu dari bentuk IC Linear yang berfungsi sebagai Penguat Sinyal listrik. Sebuah Op-Amp terdiri dari beberapa Transistor, Dioda, Resistor dan Kapasitor yang terinterkoneksi dan terintegrasi sehingga memungkinkannya untuk menghasilkan Gain (penguatan) yang tinggi pada rentang frekuensi yang luas. Dalam bahasa Indonesia, Op-Amp atau Operational Amplifier sering disebut juga dengan Penguat Operasional.
4.Dasar Teori [kembali]
Op-Amp adalah salah satu dari bentuk IC Linear yang berfungsi sebagai Penguat Sinyal listrik. Sebuah Op-Amp terdiri dari beberapa Transistor, Dioda, Resistor dan Kapasitor yang terinterkoneksi dan terintegrasi sehingga memungkinkannya untuk menghasilkan Gain (penguatan) yang tinggi pada rentang frekuensi yang luas.
Simbol:
Karakteristik IC OpAmp
- Penguatan Tegangan Open-loop atau Av = ∞ (tak terhingga)
- -Tegangan Offset Keluaran (Output Offset Voltage) atau Voo = 0 (nol)
- -Impedansi Masukan (Input Impedance) atau Zin= ∞ (tak terhingga)
- -Impedansi Output (Output Impedance ) atau Zout = 0 (nol)
- -Lebar Pita (Bandwidth) atau BW = ∞ (tak terhingga)
- -Karakteristik tidak berubah dengan suhu
Inverting Amplifier
Non Inveting
Komparator
Adder
B. Resistor
Resistor adalah komponen elektronika pasif yang memiliki nilai resistansi atau hambatan tertentu yang berfungsi untuk membatasi dan mengatur arus listrik dalam suatu rangkaian elektronika. satuan resistor Ohm yang merupakan satuan SI untuk resistansi listrik. Resistor mempunyai nilai resistansi tertentu yang dapat memproduksi tegangan listrik di antara kedua pin dimana nilai tegangan terhadap resistansi tersebut berbanding lurus dengan arus yang mengalir. berdasarkan persamaan hukum Ohm (V = I.R)
Simbol Kapasitor dibedakan menjadi dua yaitu :Simbol kapasitor standar Eropa , dan simbol kapasitor standar Amerika
Secara sekilas, simbol kapasitor dari kedua jenis diatas terlihat mirip. Perbedaannya hanya terletak pada beberapa bagian. Berikut ini penjabarannya.
Adanya kutub positif untuk kapasitor bipolar.
Perbedaan letak ujung panah untuk kapasitor variabel (trimmer).Terdapat perbedaan bentuk fisik dan cara mengubah kapasitas pada kapasitor trimmer dengan varco biasa.
Rangkaian untuk kapasitor pada umumnya sama dengan rangkaian listrik yang dapat dibedakan menjadi tiga, yakni rangkaian kapasitor seri, paralel dan juga gabungan. Simak penjelasannya berikut ini:
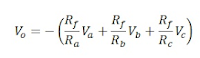
Pada rangkaian LPF -40dB/dec ini pada dasarnya menggunakan rangkaian amplifier karena memakai feedback negatif tetapi rangkaian filter ACL -nya sama dengan satu . dengan cara tentukan dahulu tegangan di titik A dan tegangan di titik B
Dimana Acl dibuat menjadi
Jika memakai op-amp ideal maka Ed = 0 sehingga Vo=VB. Gunakan hukum khirchoff arus untuk mencari tegangan di titik A, dimana: I3 = I4 ,sehingga:
Lalu masukkan nilai VA ke persamaan arus :
Dimana :
Respon Rangkaian LPF -40dB/dec ACL vs w
5.Percobaan [kembali]
- Siapkan semua alat dan bahan
- Hubungkan semua alat dan bahan
- Atur tegangan dan hambatan
- Jalankan simulasi
- Amati respons frekuensi dan respons gelombang pada osiloskop
Gambar Rangkaian
Rangkaian Low Pass Filter (LPF) adalah rangkaian yang dapat melewatkan frekuensi dibawah frekuensi cut-off (wc).Low Pass RC Filter dibuat menggunakan dua jenis komponen pasif, yaitu resistor dan kapasitor. Kedua komponen ini menghalangi sinyal frekuensi tinggi, sehingga tak bisa melewati filter. Sedangkan sinyal frekuensi rendah dibiarkan berlalu.
Rangkaian low pass RC filter dibuat dengan menggabungkan dua rangkaian, yaitu seri dan paralel. Resistor dipasang sejajar atau seri dengan arah sinyal listrik yang masuk (input). Sedangkan kapasitor posisinya tegak lurus dengan frekuensi input atau dipasang secara paralel untuk menghalau sinyal frekuensi tinggi.
Kapasitor mempunyai resistansi yang akan menjadi sangat tinggi ketika dilalui oleh sinyal listrik yang frekuensinya rendah. Oleh sebab itu, sinyal tersebut diblokir dan tidak dapat melewati kapasitor dan membuat sinyal ini langsung keluar dari rangkaian begitu sudah melewati resistor.
Sebaliknya, resistansi pada kapasitor akan menjadi sangat rendah ketika ada sinyal listrik frekuensi tinggi yang masuk. Sehingga sinyal tersebut dapat melewati kapasitor dengan mudah. Hasilnya, sinyal dengan frekuensi rendah dan tinggi tidak akan melalui jalur yang sama.
6.File [kembali]

.png)
.png)
.png)
.png)
.png)


.png)
.png)
.png)
.png)
.png)
.png)
.png)
.png)
.png)
.png)
.png)
.png)
.png)
.png)
.png)
.png)
.png)





.png)
.png)
.png)
.png)
.png)
.png)
.png)

.png)
No comments:
Post a Comment